Clara™ Probe Purple Mix
Đạt được hiệu suất của Clara™ Probe Mix với thuốc nhuộm màu tím, trơ, dễ nhìn thấy để hiển thị mẫu. Việc phát hiện các mục tiêu DNA dựa trên đầu dò phổ biến qPCR tiên tiến trở nên dễ dàng hơn bao giờ hết.
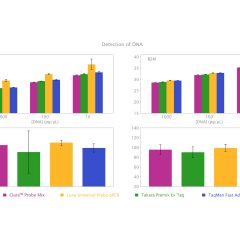
Clara™ Probe Purple Mix mang lại hiệu suất đáng tin cậy, nhạy cảm và cụ thể tương tự như các hỗn hợp qPCR dựa trên đầu dò mới nhất của chúng tôi. Ngoài ra, hỗn hợp này còn được bổ sung thuốc nhuộm màu tím độc đáo để hiển thị mẫu trong quá trình thiết lập đĩa. Thuốc nhuộm này không gây ức chế PCR và không ảnh hưởng đến các đầu dò huỳnh quang thường được sử dụng, với khả năng làm nguội tối thiểu, đảm bảo tạo ra tín hiệu mạnh để đo chính xác.
Đặc trưng:
- Định dạng trộn 4x đậm đặc, lý tưởng cho các xét nghiệm có thông lượng cao, đa kênh cao
- Phát hiện vượt trội các mục tiêu DNA
- Định lượng đáng tin cậy các mẫu có số lượng bản sao thấp
- Kháng thể khởi động nóng để tăng độ nhạy và độ đặc hiệu
- Cải thiện tốc độ và độ nhạy để phát hiện mục tiêu sớm
- Thuốc nhuộm màu tím trơ để dễ hình dung trong quá trình thiết lập




Đánh giá
Chưa có đánh giá nào.